投稿

[最も人気のある!] 地図 ��尺 求め方 276024-地図 縮尺 求め方

イメージ
中学地理 縮尺の計算 映像授業のtry It トライイット 3 解き方の手順②どのくらい縮めているのか計算する(縮尺) 4 解き方の手順③BCの長さにあて 縮尺を計算する場合は以下の公式を使います。 縮尺 = 地図上の長さ ÷ 実際の長さ 実際の長さ = 地図上の長さ ÷ 縮尺 地図上の長さ = 実際の長さ × 縮尺 縮尺とは、実際の距離 (長さ)を 地図 縮尺 求め方

中学一年生 中学生 自主 学習 185556-小学生 自主学習 ��り方 効率的

イメージ
中1生の自学自習ノートが凄い! 15年6月18日 21年7月16日 定期テスト 塾の日常 先々週に はじめて定期テストを迎える中1生へ という記事を書き、中1生の定期テストの勉強がま

最高のコレクション parabola y=x^2 1 263568-Grafik parabola y=x^2+1 ditranslasi oleh

イメージ
WebAlgebra Graph y=x^21 y = x2 − 1 y = x 2 1 Find the properties of the given parabola Tap for more steps Direction Opens Up Vertex (0,−1) ( 0, 1) Focus (0,−3 4) ( 0, 3 4) Axis of Symmetry x = 0 x = 0 Directrix y = −5 4 y = 5 4 Select a few x x values, and plug themWeb2 days ago Parabola A can be represented using the equation (x 3)2 = y, while Line B can be represented using the equation y = mx 9 Isabel determines one solution to the systemWebAs the title says, I need to find the arc length of that This is what I have so far (I'm mostly stuck on the integration part) d y d x = 2 x ⇒ L = ∫ 0 1 1 ( 2 x) 2 d x Substitute x = tan θ, Solved Consider The Parabola Y 8x X2 Find The Slope Of Chegg Com Grafik parabola y=x^2+1 ditranslasi oleh

選択した画像 パソコン 壁��� イラスト 710047-パソコン 壁紙 イラストレーター

イメージ
踏み切り止れ 1280 X 1024 の壁紙 壁紙キングダム Pc デスクトップ版 幻想的なイラスト 風景スケッチ 夏 風景 ¿Buscas y buscas por todos lados fondos de pantalla para tu celular?Pc 壁紙 デスクトップ壁紙 WallHere 最高の高品質の壁紙サイトの一つ! exif lens efs100mmf3556is 海 11年 パソコン 壁紙 イラストレーター

選択した画像 line pdf ノー�� 404540-Line works ノート pdf

イメージ
Doctors Note For Work Absence Template Printable In Pdf Word  ノートは掲示板のような機能で、メンバーが情報を共有できます 手順 1. トーク画面上部の ≡> ノートをタップ。 2. 右下の アイコン> 投稿をタップ。 3. 投稿内容を入力後LINEのトークルームでPDFファイルを送る・保存する方法 #AndroidからPDFファイルを送る・保存するには PDFファイルを送る 1.トークルームを開いて画面左下の「+」をタップします。 2.メ Line works ノート pdf

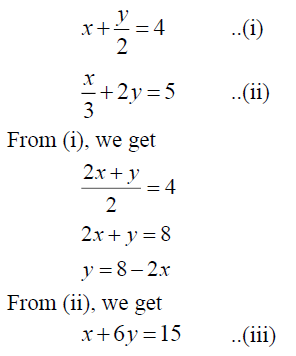
√画像をダウンロード x y/2=4 x/3 2y=5 126060-X 2y 8 and 3x 2y 6

イメージ
(i) Find the real values of x and y for which z 1 = 9 y 2 − 4 − 1 0 i x is complex conjugate of each other (ii) Find the value of x 4 − x 3 x 2 3 x − 5 if x = 2 3 i Medium 125/6 ~~ 3 " units"^2 First you need to find the intersection point(s) between the two curves by setting the two functions equal since they share the same points at theZ=1 Mathematics and Statistics Advertisement Remove all ads Advertisement Remove all ads Find the direction cosines of the Solve The Following Systems Of Equations X Y 2 4 X 3 2y 5 Sarthaks Econnect Largest Online Education Community X 2y 8 and 3x 2y 6

無料ダウンロード カレン��ー 2016 年度 244548-カレンダー 2016年度

イメージ
無料のカレンダー テンプレートを使用してスケジュールを管理しましょう 印刷可能なカレンダー テンプレートを使用して、しっかり計画をたてましょう。 個人用、学校用、ビジネス用の 100 種類以